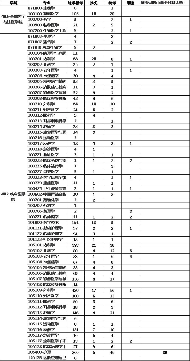
考研報錄比是考生在擇院校擇專業時非常重要的參考依據,通過報錄比可以清晰地了解到要報考專業的報名、錄取情況。今天,小編整理了“考研報錄比:四川大學2019年碩士研究生報錄比”的相關內容,希望能對大家有所幫助。








原文標題:歷年報考及錄取情況查詢
原文鏈接:https://yz.scu.edu.cn/statistics/
考研報錄比是考生在擇院校擇專業時非常重要的參考依據,通過報錄比可以清晰地了解到要報考專業的報名、錄取情況。今天,小編整理了“考研報錄比:四川大學2019年碩士研究生報錄比”的相關內容,希望能對大家有所幫助。








原文標題:歷年報考及錄取情況查詢
原文鏈接:https://yz.scu.edu.cn/statistics/
掃碼添加獲取各院校復試名單及錄取名單
【版權與免責聲明】本站所提供的內容除非來源注明研線網,否則內容均為網絡轉載及整理,并不代表本站贊同其觀點和對其真實性負責。文章由本站編輯整理發出,僅供個人交流學習使用。如本站稿件涉及版權等問題,請聯系本站管理員予以更改或刪除。