研線小課堂開課啦!2021級考研黨眼下正是穩抓穩打基礎的階段,小編將為大家更新管理類聯考數學知識點解析,滴水穿石,勢在必得。今天給大家講解數學知識點【二項式定理】,看完你就會啦!
在排列組合模塊,二項式定理算是一個不大容易讓人搞明白并且熟練運用的公式。學習好的學生,記住公式,就能解決大部分簡單問題,但遇上難一些的,就沒辦法熟練解題;學習稍微弱一些的學生,可能公式記起來就容易記混、記錯,更別提解決問題了。今天我們就用一篇文章解決你在這方面的痛處。
語言學家告訴我們:“如果不能搞清楚一個概念,那我們就會對這個概念產生理解上模糊、混沌。理解上有偏差,進而行動上就會偏離正確路線,再接著,結果不言自明。”
同樣地,一個公式,如果我們不能搞清楚它的前因后果,不能完全搞明白它的推導過程,那我們理解上就容易出差錯,進而不知道如何應用,再進而,做題就容易出錯。
1,二項式定理的公式是這樣的:

公式看起來很簡單,背起來也好背,但今天背了,明天可能就忘掉了。這反映了我們其實并沒有真正地理解這個公式。那如何叫做真正地理解一個公式呢?考核標準就是:能夠推導出來這個公式。
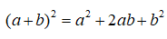
復雜的公式往往是由簡單的公式推導出來的。我們先來看一個最簡單的公式,這個公式就是我們學過的完全平方式。

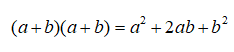
這個公式我們大家都見過,而且很熟悉,那這里問題來了,這個式子是怎么展開的呢?怎么由左邊展開到右邊的呢?有同學會說,它是這樣展開的:

這還是沒有觸及本質。左邊是如何進行運算后,展開成右邊的形式的呢?不要不耐煩,一個問題問到底,才是解決這個問題的核心所在。
2,讓我們都回到小學程度,這個式子是這樣子展開的:
用第一個括號中的去乘以第二個括號中中出來的,然后得到了;
用第一個括號中的去乘以第二個括號中的,得到了一個;
用第一個括號中的去乘以第二個括號中的,又得到了一個;
用第一個括號中的去乘以第二個括號中的,得到了。
也就是說,每次在進行展開的時候,我們讓每個括號里出來一個項,兩個括號就出來兩個項,然后讓出來的這兩項相乘出來一個結果,所有的項都參與過運算后,匯總起來就是最終的結果。
3,現在我們用同樣的方法,來對二項式定理進行分析。

【步驟一】(a+b)的n次方就是n個(a+b)相乘。

在每次運算的時候,每個括號里都只出來一個項,a或者b。n個括號,那就總共是個n項相乘。
【步驟二】現在,我假設要讓所有的括號都不出來a,都出來b,那就是出來0個a和n個b。那也就意味著從這n個括號中,挑出個0括號,讓它出來0個a,讓剩下的n個括號都出來b。
n個括號中,挑出0個括號就是

出來0個a,就是a的0次方;
剩下的n個括號都出來b,就是b的n次方;
合起來就是二項式定理展開的第一項:

【步驟三】接著,我假設要讓其中某1個括號出來1個a,剩下的(n-1)個括號都出來b,那就是出來1個a和(n-1)個b。
那也就意味著從這n個括號中,挑出1個括號,讓它出來1個a,讓剩下(n-1)的個括號都出來b。
n個括號中,挑出個1括號就是

出來1個a,就是a的1次方;
剩下的(n-1)個括號都出來b,就是b的(n-1)次方;
合起來就是二項式定理展開的第二項:

接下來的展開,我們就不再贅述,二項式定理就是這樣簡單而又樸素地展開并推導出來的。
4,用上述方法我們去做簡單的題,直接套用公式就可以了,我們這里不再展示。
一套方法能解決最難的題才能證明它的普適性。那我們就直接用這么樸素的方法,去做最難的題來試試,如下題:

分析:(x²+x+1)的5次方相當于5個(x²+x+1)相乘。

想要x²出來,有2種路徑。
第一種:讓5個括號中有1個括號里出來1個x²,剩下的4個括號都出來1;
第二種:讓5個括號中有2個括號里出來2個3x相乘,剩下的3個括號都出來1。

學會了么?用這個方法,再復雜的題,都可以用最簡單的方法做出來,而且速度很快。
以上就是今天的知識點,你學會了嗎?